旋转变阻器
线性变阻器
预设电阻
如何将电位器作为变阻器接线?
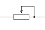
通过连接电阻轨道的一端和擦拭器,任何3端子电位计都可以作为变阻器接线。最佳做法是将擦拭器与电阻轨道的另一端连接在一起。这样做可以防止电路中断,以防刮水器与电阻轨道失去连接,并在调整过程中降低噪音。

电位计连接为可变电阻
变阻器符号
根据IEC标准使用以下符号。
变阻器符号 |
预设电阻符号 |