B值和NTC热敏电阻关系
NTC热敏电阻是非线性电阻,可随温度改变其电阻特性。简而言之,随着温度的升高,热敏电阻的电阻会降低。热敏电阻的电阻降低的方式与热敏电阻工业中已知的β(β)常数有关。
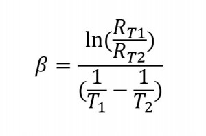
β以开氏度(K)为单位测量,并基于下面给出的公式计算。

其中:
R t1 =温度下的电阻1
R t2 =温度下的电阻2
T 1 =温度1(K)
T 2 =温度2 in(K)
NTC热敏电阻的β值仅使用给定范围内的两个温度计算,并不是计算R对T曲线的最准确方法。
更准确的方法是使用Steinhart和Hart方程,该方法使用给定范围内的三个温度。